- 城市发展的逻辑
- (法)迈克尔·斯托珀尔
- 5450字
- 2020-04-17 14:11:28
新古典城市经济学
要探讨这个问题,我需要介绍城市与区域经济学领域的主流观点,即新古典城市经济学(NNUE)。新古典城市经济学研究的是个人、企业和家庭对地点的选择。从经验上来说,新古典城市经济学受到菲利普·格雷夫斯(Philip Graves,1976,1980,1983)和詹妮弗·罗贝克(Jennifer Roback,1982)的强烈影响,这两位北美的区域科学家认为,对舒适性的偏好是个人和家庭做出选择的核心考虑。对他们来说,舒适性主要是指气候和“生活质量”,家庭和个人正是要寻求气候和“生活质量”效用的最大化,而通过迁移即可达到目的。新古典城市经济学假设了一系列约束条件(如家庭预算、工人的技能或企业的供应商结构),然后确定了人口(人的决策)与产出(企业的决策)的均衡空间分布,它们又共同决定了城市的规模、城市的收入和产出水平,以及城市区域之间的专业化模式。
爱德华·格莱泽(Edward Glaeser,2008),以及他和同事约书亚·戈特利布(Edward Glaeser and Joshua Gottlieb,2009)又做了进一步研究,提出了“空间一般均衡”的综合框架,其中企业选址决策、工人的个体迁移决策、开发商建筑房屋的决策之间存在连带关系。消费者寻求效用最大化,是他们的工资、住房支出和舒适性的体现;企业寻求利润最大化,它们有可能在不同地区实现全部要素的替代。建筑商根据需求和法规供应住房,提供更多的空间和更廉价的土地,而后者则主要取决于土地使用法规,某些情况下,不同地区存在天然(自然地理)差异。
空间一般均衡理论认为:住房价格、工资和城市规模由工人、企业和开发商之间的相互作用共同决定,这些因素又反过来同时决定了城市规模、收入水平以及人口和收入的增长率。这些关键变量中的任何一个受到巨大的干扰之后,工人和企业就会改变选址,建筑商就会调整住房存量,直到这些因素共同将系统带回一般均衡状态。如果城市X的工人享有更高的效用水平,即舒适性、生产率水平或住房成本差异的函数,城市Y的工人就会迁移到城市X并最终消耗掉这些利益。在均衡状态下,高房价和非舒适性会抵消高名义工资(钱),而对于低名义工资的城市,就必须提供一些优势补偿,即便宜的住房和/或一些人想要的舒适性,如免费的宜人环境。至关重要的是,在这个框架内,人口增长被作为衡量经济表现最重要的尺度,因为人们是在用脚投票,作为效用指数的实际收入便在地区间实现了均衡。
按照这个思路,许多北美区域科学家认为,城市舒适性方面的一个巨大变化,即二战后空调的广泛商业化,给美国城市系统带来长期而重大的转变(Borts and Stein,1964;Graves,1983;Rappaport,2007;Partridge,2010)。空调加上州际公路系统的建设,使许多人可以根据自己固有的偏好选择生活在气候宜人的地方,或生活在靠近山区和海岸的地方。大批工人因此从寒冷、人口密集的东北部搬到了温暖、人口密度较小的南方。基于格雷夫斯(1976,1983)的观点,马克·帕特里奇(Mark Partridge,2010)认为,这个时代的人们为了住房、气候而迁移,然后工作岗位发现了这些迁移的人,房屋建设则转移到建筑规则限制较少的地方,这些地方通常是温暖的、欠发达的,且人均名义收入低于全国平均水平。
此外,他们还指出,那些他们认为气候和自然特征较不理想的地区,如纽约和其他老牌的大都市区,在20世纪90年代复苏,是因为这些地方的生活质量或“舒适性价值”有所提高。这些城市为高技能工人之间的互动提供了便利条件;而在20世纪90年代某段时间对高技能工人的需求也大幅增加。据说这些城市也提供了便利的高消费机会,而犯罪率下降这个外生性要素也让追求这种偏好的成本比之前降低。
当然,并非只有这些研究者注意到,许多美国人都喜欢享受阳光和郊区生活,现在的纽约比20世纪70年代更安全,高技能工人聚集在一起生产效率更高。而这些城市经济学家提出的解释的独到之处就在于将这些过程联系在一起。这种观点认为,因为工人重新定位很容易,也因为金钱和舒适性可以彼此替代,同类工人的效用会在各城市地区趋于均衡。该观点中的效用不仅由名义(或总)工资构成,也包含在住房和当地可获得的舒适性方面的支出。在这个空间一般均衡中,作为个体的工人不会因为从一个城市搬到另一个城市而变得更富裕。由于高技能产业的集中,纽约人或许可以获得较高的名义工资,但菲尼克斯居民没有搬到纽约的原因是,如果把纽约寒冷的冬天和相对高成本的租住房屋考虑在内,纽约人根本就不富裕。
根据这一观点,阳光地带的发展是因为许多工人选择以较低的名义工资为代价换取阳光和住房条件,而某些高产的工人选择较高的工资,同时也接受较高的住房成本以及有利有弊的城市环境,如文化活动、交通、犯罪等。虽然空调和宽松的土地管制可能暂时使某些地点更具吸引力,但在阳光地带、锈带,以及东西海岸线的工人的效用水平应该趋于均衡,因为搬到阳光地带的人们,最终以较低的货币工资形式为阳光和廉价住房“付出了代价”。
在关于城市系统转变的原因与后果的讨论中,这种观点已经变得越来越占上风,且不仅仅是在美国。乍一看,表2.1似乎和这个总体发展过程一致。1980—2000年人均收入增加最快的城市中,包括一些复苏的东北大都市区及其郊区、硅谷的富裕地区以及阳光地带的一批新兴城市。除了圣贝纳迪诺—里弗赛德这个洛杉矶地区的卫星区域,人口增长率最高的十大城市都在阳光地带。
按人口排名的城市中,衰退的工业中心城市处于倒数位置。位于加利福尼亚内陆地区和得克萨斯州的一组规模较小的城市疑似具有一个共同的特征,即都属于收入增长率最低的城市。
表2.1 1980—2000年美国大都市区的人口和收入增长
注:人口增长率基于作者对美国人口普查数据的计算(N=331);收入增长率基于作者对经济事务局的名义人均GDP数据的计算(N=387)。名义收入指毛收入,而不是扣除支出后的净额(实际收入)。除非特殊说明,否则收入数据并未经通货膨胀调整。
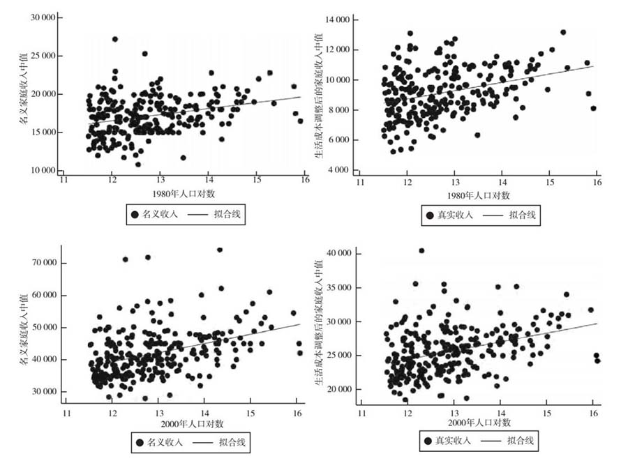
引自凯梅尼和斯托珀尔(Kemeny and Storper,2012)的图2.1是一个散点图,显示了1980年和2000年相同的244个大都市区的人口、名义的和实际的家庭中值收入之间的关系。我们看到预期的名义收入和人口之间的向上倾斜关系:大城市的“原始”工资更高。但是,与爱德华·格莱泽和戴维·马雷(Edward Glaeser and David Maré,2001)在1990年对37个城市的研究结果形成鲜明对比的是,此图显示1980年与2000年一样,即使算上住房成本,大城市中的家庭收入中值也比小城市的要高。随着名义收入水平向实际收入水平移动,每条线的斜率都在减小,但两者的关系仍然密切且呈正相关。此外,城市间的收入分布不会长期均等化。实际上在本研究进行期间,实际家庭收入中值的变化系数已经从0.137上升到0.145。
为了与空间均衡保持一致,我们应该预计所有未标价或“免费”舒适性的外部性都与实际工资负相关(Glaeser、Kolko and Saiz,2001)。气候宜人、夜生活丰富或有其他舒适性的城市,也应该是实际收入相对较低的城市。鉴于这种关系,一些城市经济学家把1月的平均气温作为20世纪末阳光地带人口和收入增长的主要驱动力(Borts and Stein,1964; Graves,1983; Partridge,2010), 而另一些经济学家则认为,南方城市住房供给的扩大才是令人信服的原因(Glaeser and Tobio,2008)。如果说舒适性或建筑热潮是阳光地带崛起的外部决定因素,那么工人则显示了用工资交换更温暖的冬天或便宜宽敞的住房的主观意愿。在表2. 2中,1980年1月的温度与实际工资显著负相关,正如空间一般均衡模型预测的那样。
图2.1 1980年和2000年大都市地区收入和人口水平中值
表2.2 舒适性与实际收入及人口的相关性
注:括号内为标准误差。星号表示显著水平:∗∗显著性为1%,舒适性变量在数据附录中描述。
但1月的平均温度是一个足够明显的可能会影响迁移决策的舒适性指标吗?最终这个问题最好用激励和移民偏好的数据来回答。即便缺乏窥探人类行动时大脑活动的数据,我们仍然有一些指标表明冬天的温度不足以作为衡量城市总体舒适性的标准。我们可以先从常见的现象开始,比如休斯敦的夏天和底特律的冬天一样不舒服,还可以从其他来源找到证据,如《地方评级年鉴》(Places Rated Almanac,Boyer,1985)和《城市排名和评级》(Cities Ranked and Rated,Sperling and Sander,2004)等出版物,结合调查和舒适性的间接数据(虽然远远不够精确)以提供信息协助移民做决定。每种数据都表明,即便只从气候因素进行研究,人们也会更广泛地考虑某地的生活质量。表2.2也显示了1980年的实际收入与《地方评级年鉴》中“气候和地形”变量之间的关系,它结合了极端气温信息、需要取暖和消暑的天数及其他因素。虽然负相关,但相关性很弱且不显著,这表明在更广泛地考虑各种气候特征后,气候、人口与收入之间的相关性并不存在。简而言之,加利福尼亚南部沿海地区(从圣巴巴拉到圣迭戈)既有最温和的气候,同时也有扣除住房成本之外很高的净收入,但其人口增长率只是全国的中值,远低于模型中的预测。
如上所述,一些研究人员认为,其他生活质量要素影响了城市的表现,包括休闲景点(Carlino and Saiz,2008)、沿海通道以及一系列舒适的消费环境(Rappaport,2007;Glaeser、Kolko and Saiz,2001;Clark,et al.,2002;Florida,2002)。这种说法与罗贝克(Roback,1982)和其他研究成果等更广泛的理论讨论相一致。表2.2的余项显示了1980年的实际收入与《地方评级年鉴》中以艺术、娱乐、健康与环境、犯罪、教育与交通等指标衡量的其他舒适性之间的关系。令人惊讶的是,除犯罪率以外,所有其他舒适性指标都与实际收入呈正相关。同样,除犯罪率以外,所有其他舒适性指标也都与1980年大城市人口呈正相关,这与阿尔布依(Albouy,2008)的总体生活质量模型相符:无论大城市的冬天多么难熬,那里还是会提供更好的舒适性。此处我列出的所有衡量生活质量的标准中,只有1月份的平均温度表现出与实际收入的预期关系。
为了全面了解舒适性与城市发展的关系,我们可能需要了解各地关于舒适性的价格、无法估价的舒适性的供给,以及人们的偏好等更详细的数据。尽管舒适性驱动城市发展假说的支持者30年来一直都在发表关于这方面的文章,但是他们并没有提供相关的详细数据。注意到这一点非常重要。比如,与休斯敦相比,纽约的舒适性会更强却更昂贵吗?2011年秋天在我写这本书的时候,纽约大都会歌剧院和休斯敦大歌剧院都在上演焦阿基诺·罗西尼(Gioacchino Rossini)的《塞维利亚的理发师》(The Barber of Seville)。按各自的网站所示,纽约大都会歌剧院的票价从25美元到430美元,休斯敦大剧院的票价从38美元到400美元。预算不充裕的人,如果买最便宜的票,在纽约大都会歌剧院观看此部歌剧可以比在休斯敦少付1/3的钱。由此可以推算,纽约的娱乐设施供给总量比休斯敦多,只是我们缺乏数据估算出令人信服的人均娱乐设施拥有量,也不确定在设施利用和拥挤程度方面是否有不同的影响。但既有文献没有提供证据证明与那些快速发展的城市相比,高收入城市的舒适性更昂贵,或其免费舒适性(除了温暖的气候)的供给量更低。空间一般均衡理论要求“高舒适性应与较低的实际收入相关联,因为需要用高实际收入弥补吸引力较差城市的低舒适性”(Glaeser,2008,第59页)。当我们将这些证据展开进行仔细研究时就会发现,舒适性在解释人口流动(这是格莱泽-罗贝克-格雷夫斯传统理论的衡量标准)中的作用远不能令人信服。
人们可能会问,实际工资和收入差异是不是由城市之间不同的劳动者素质和技能造成的。但是将城市劳动力构成差异考虑在内之后,上面所说的实际工资差异依然存在。凯梅尼和斯托珀尔(2012)发现,1980年和2000年有12%的实际家庭工资差异是大都市的特征差异的函数(就是说与家庭成员差异无关)。换言之,就像我们看到的,在较大的大都市区,由个体特征相似的人组成的家庭会做得更好,他们也有机会获得更好的舒适性。
新古典城市经济学的一个主要观点是,人口变化是衡量城市系统发展动力的最好标准,因为这种观点声称实际效用是无差异的。然而,经不起推敲的是,人们是通过移居到同时具有高收入和高舒适性的地方实现其效用最大化的吗?如果由个人偏好驱动的移居确实是区域和城市发展的“鸡”,那么人们就应该涌向兼具高收入和高舒适性的地方。
因为无法将舒适性的价值和实际收入恰当地结合到一个单一的指标中,我们将城市分为四个象限:舒适性和实际收入高于平均水平的城市;舒适性和实际收入低于平均水平的城市;收入高而舒适性低的城市;收入低而舒适性高的城市。为了方便这种分组策略的实施,我们结合气候、健康、犯罪、交通、教育、艺术和娱乐等指标,将各大都市区标准化并计算出一个舒适性得分。
这要求我们赋予各种舒适性同等地位(尽管除犯罪外,不同的舒适性指标都呈显著正相关,但这无疑也是一个不准确的假设)。图2.2给出了1980年标准化以后的舒适性指标与实际收入的关系。我们在图中也区分阳光地带和非阳光地带的城市。
1980年,在高效用象限内表现最好的城市包括华盛顿、哥伦比亚特区、芝加哥、旧金山和波士顿,它们都位于以创新为基础的经济核心区域内。这些高效用城市没有几个在阳光地带,亚特兰大和达拉斯是例外。大多数阳光地带城市位于低效用象限,较小程度上属于低实际收入高舒适性象限。非阳光地带城市在四个象限的分布更均匀。1980年时的高效用城市现在正走下坡路,包括底特律、克利夫兰和费城。不出所料,如果我们基于2000年的价值标准重新计算,这些老牌制造中心都没在这个象限内。
图2.2 美国大都市区的舒适性与实际收入
为了确定在各象限之间的人口增长率是否有显著差异,表2.3用一组表示所在象限的虚拟变量显示了人口增长与作为参照组的高舒适性、高工资象限的关系。没有一个象限内的人口增长率与同时具有高收入和高舒适性的那组有显著不同。
这与最高人口增长率应该出现在实际收入和舒适性高于平均水平的地区的预测相反。如果真的存在某种导致某些城市效用更高的意外情况,无论是更廉价的住房、更高的名义工资,或更高的舒适性,工人就应该抓住这个机会,通过从低效用城市搬到高效用城市,提高自身的效用水平。支持这个新古典经济学核心观点的证据并不明显。
表2.3 作为大都市人口增长率决定因素的效用(1980—2000年)
注:参照组是高收入、高舒适性象限。括号中为标准误差。
- 国际贸易理论与实务(第3版)
- 中国人工智能发展报告:知识工程(2019—2020)
- 战略导向、研发伙伴多样性与创新绩效:基于制药企业的案例与实证
- 发展中国家的贸易政策选择
- 探索建设自由贸易港蓝皮书2019
- 城市新格局:新时代标杆房企城市布局新逻辑
- 大数据崛起:马云与阿里的大数据帝国
- 经济系统的结构:中介系统及其影响研究
- 协同创新联盟驱动区域工业高质量发展路径研究:以河南省为例
- 制造业能级提升的金融服务研究:宁波制造业发展新探索
- 乡土民居与旅游发展研究:以宜宾市为例
- 战胜命运:跨越贫困陷阱,创造经济奇迹
- 2020全国注册咨询工程师(投资)职业资格考试考点突破+历年真题+押题试卷:工程项目组织与管理
- 大宗淡水鱼产业发展报告(2011~2015)
- 中国油气与新能源产业发展报告(2024)